DOI: 10.1016/j.snb.2019.127624
管状ZnO-Co3O4纳米纤维是由含锌和乙酸钴的聚合物溶液共静电纺丝而成的。通过XRD、SEM、HRTEM、带有EDX映射的HAADF-STEM和XPS研究了纤维中的物相组成、钴电子态和元素分布。裸ZnO对NO和NO2具有很高的选择性灵敏度,而ZnO-Co3O4复合材料在干燥和潮湿的空气中对H2S表现出选择性灵敏度。从钴氧化物转变为硫化钴以及钴掺杂后ZnO氧化物表面酸性的变化来讨论这种效应。响应和恢复时间的减少归因于管状结构的形成,其有助于气体通过敏感层的传输。

图1.ZnO-Co3O4复合纳米纤维的X射线衍射图。虚线和点划线分别对应于ZnCo2O4(ICDD 23-1390)和ZnO(ICDD 36-1451)的反射位置。

图2.ZnO-Co3O4复合纳米纤维的SEM图像。

图3.ZnCo13样品的低倍率(a)和高分辨率(b)TEM图像;从圆形区域1(c)和2(d)获取的快速傅里叶变换(FFT);HAADF-STEM图像(e)和相应的STEM-EDX混合Zn/Co图(f)。STEM-EDX图显示了富含锌(5 at.%钴,区域1)和钴(61 at.%钴,区域2)的区域。

图4.ZnCo13纳米复合材料的HAADF-STEM图像和STEM-EDX图。

图5.ZnCo13(a,c)和ZnCo30(b,d)复合纳米纤维的HAADF-STEM图像和STEM-EDX图。STEM-EDX图显示了富含锌(1)和钴(2)的区域。钴富集区的组成:64 at.%钴(a)和84 at.%钴(b);锌富集区:5 at.%钴。

图6.由对应于Co(III)(暗红色)和Co(II)(红色)主峰和Co(II)摇动卫星的2个或4个双峰拟合的Co 2 XP光谱,对应四面体(深绿色)和八面体(深粉色)配位环境。

图7.ZnO和ZnO-Co3O4纳米纤维的O 1s XP光谱。

图8.(a)未改性的ZnO和ZnCo7纳米复合材料在250℃下的电阻与氧分压的关系。插图:样品的电导率对250℃时氧分压的依赖性,坐标为lg(G)-lg(1-G/G0)相对于lg(po2),对应于方程(2)。(b)系数m对应于ZnO和ZnO-Co3O4表面主要的化学吸附氧种类。

图9.ZnO-Co3O4纳米纤维在80-280℃温度范围内对NO2(1 ppm,RH25 = 0%)的瞬态传感器响应。

图10.在(a)干燥(RH25 = 0%)和(b)潮湿(RH25 = 60%)的条件下,ZnO-Co3O4纳米纤维对主要空气污染物的传感器信号。对于特定的气体,给出了最大响应温度的值。

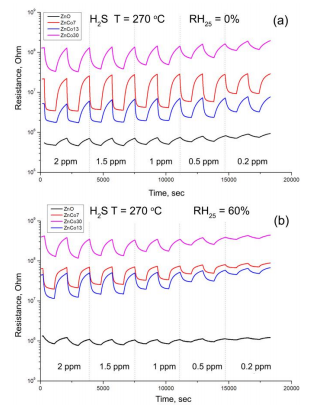
图11.在(a)干燥(RH25 = 0%)和(b)湿润(RH25 = 60%)的条件下,当T = 270℃时,ZnO-Co3O4纳米纤维对H2S(0.2-2 ppm)的瞬态传感器响应。

图12.在(a)干燥(RH25 = 0%)和(b)潮湿(RH25 = 60%)的条件下,在T = 270℃下检测H2S的校准曲线。

图13.在干燥和潮湿的空气中ZnCo7和ZnCo13纳米复合材料对1 ppm H2S的传感器响应的稳定性,连续测量了14天。