DOI:10.1016/j.polymer.2020.122402
本文研究了静电纺丝法制备的离子凝胶纳米纤维基电致变色器件(ECDs)的电化学性能。将制备的电纺纳米纤维网夹在两个透明电极之间制成ECDs。利用循环伏安法、光谱电化学法和动力学稳定性测试研究了ECDs的电致变色行为。为了确定增强电致变色行为的来源,用扫描电镜观察了纳米纤维的形态结构,结果表明,离子液体(IL)区域包围了固相中纳米纤维之间的孔隙。值得注意的是,纳米纤维孔隙中IL含量的增加会导致较高的离子迁移率。因此,制备的纳米纤维基ECDs在开关速度、循环稳定性和着色效率方面表现出增强的器件性能。此外,通过将电纺网夹在由银纳米线/PEDOT:PSS复合电极组成的两个塑料电极之间,制备了柔性ECDs。所制备的器件在较大的有效面积上显示出颜色切换,并且在反复弯曲循环中保持透射率的变化。这些基于纳米纤维的电致变色器件是实现大面积电致变色器件的一种实用方法,具有良好的多色开关和长期的循环稳定性,适用于刚性和柔性器件。

图1.电纺纳米纤维的表面形态(SEM图像):(a)-(b)纯PVDF-TrFE纳米纤维,(d)-(e)PVDF-TrFE纳米纤维:[BMIM] [TFSI] ILs(1:1) ,(g)-(h)PVDF-TrFE纳米纤维:[BMIM] [TFSI] ILs(1:4)。在(c)、(f)和(i)中显示了不同IL含量的电纺纳米纤维直径直方图对应的数据,并将铝箔上电纺纳米网的照片作为插图。

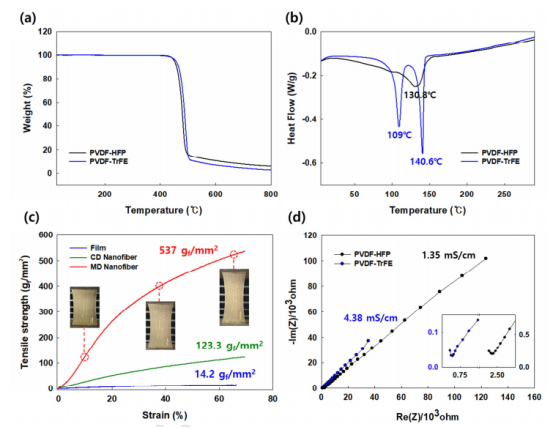
图2.(a)热重曲线。(b)通过第二次加热获得的PVDF-HFP和PVDF-TrFE的差示扫描比色(DSC)曲线。(c)离子凝胶纳米纤维和薄膜的拉伸强度和应变曲线。 (d)PVDF-HFP基和PVDF-TrFE基的离子凝胶组合物的奈奎斯特阻抗图,以计算离子电导率。

图3.对于(a)由[DHV] [PF6]2、PVDF-TrFE和BMIM-TFSI ECD组成的电纺纳米纤维,在20、50、100、200和300 mV/s不同扫描速率下的循环伏安曲线。(b)Ipa和Ipc值与施加电压的对应线性图。(c)纳米纤维ECDs的光谱电化学曲线随0 V和-1.8 V之间施加电势的变化,以及(d)相应的透射率变化曲线。

图4.(a)通过在0和-1.8 V之间以不同的时间间隔切换,纳米纤维基ECDs在550 nm处的透射率变化(ΔT)。(b)纳米纤维基ECDs在着色和漂白状态下的开关速度。(c)550 nm处的光学变化(∆OD)与应用电荷密度之间的关系。

图5.在-1.8 V和0.5 V的施加方压以及(a)28%和(b)40%的不同透射率变化(∆T)下,纳米纤维基ECDs在550 nm处的长期稳定性测量结果。

图6.(a)电纺纳米纤维在550 nm处的柔性ECDs的光谱电化学和(b)透射率变化。