DOI:10.1016/j.seppur.2020.116794
通过双喷头静电纺丝法制备了具有超细平均纤维直径(例如62±16 nm)的电纺磺化聚醚砜(SPES)纳米纤维膜,并将其作为一种多功能膜,用于同时对多组分废水中的纳米颗粒、染料和重金属离子进行过滤和吸附。通过控制纤维直径可以改变和调节膜的孔径和孔径分布,从而影响纳米颗粒的过滤保留率,而位于纳米纤维表面的磺酸基团则是通过静电相互作用吸附染料和重金属离子的活性位点。磺化度的增加和溶液浓度的降低导致电纺纳米纤维膜的纤维直径减小,SEM和TEM测量也证实了这一点,此外SPES的分子量增加。除纳米颗粒悬浮液的过滤性能之外,还分别研究了纳米纤维膜对阳离子染料和重金属离子的吸附动力学和热力学。用含有0.2μm颗粒、亚甲基蓝(MB)和Pb(II)离子的模拟多组分废水对超细纳米纤维SPES膜进行了最终测试。该膜对纳米颗粒、MB和Pb(II)的渗透通量高达320 L/m2h,截留率达 99.0%以上,并且具有良好的过滤性能。吸附MB和Pb(II)后的纳米纤维SPES膜可以进行回收利用,这表明该膜在实际废水处理中具有可持续性。

图1.含不同DS的PES和SPES的ATR-FTIR光谱。

图2.含不同DS的SPES纳米纤维膜的SEM图像:分别为(A)5.0%、(B)10.0%、(C)15.0%和(D)30.0%。

图3.来自12wt%(A)、10wt%(B)、9wt%(C)、8wt%(D)、7wt%(E)、6wt%(F)的SEM图像和12wt%(a)、10wt%(b)、9wt%(c)、8wt%(d)、7wt%(e)、6wt%(f)的TEM图像的超细纳米纤维SPES-5膜的俯视图。

图4.由SEM或TEM图像测量的纤维直径与不同浓度的SPES-5溶液相关。

图5.受纤维直径控制的超细纳米纤维SPES膜的孔径。

图6.超细纳米纤维SPES膜的孔径分布。

图7.纳米纤维PES和SPES膜的机械性能。

图8.超细纳米纤维SPES膜对纳米颗粒的过滤效率。

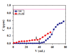
图9.超细纳米纤维SPES膜对MB和Pb(II)吸附的突破曲线。短虚线表示进料溶液的浓度。

图10.超细纳米纤维SPES膜在三个Pb吸附-解吸循环中的可回收性(II)。

图11.超细纳米纤维SPES膜对模拟多组分废水的过滤性能:(A)200 ppm的纳米颗粒和6.0 ppm的MB;(B)200 ppm的纳米粒子、4.0 ppm的MB和1.0 ppm的Pb(II)。