DOI:10.1016/j.solener.2020.03.110
具有出色催化性能的对电极(CE)是获得高性能染料敏化太阳能电池(DSSCs)的前提。本文通过水热法和静电纺丝法成功合成了NiCo2S4/碳纳米纤维(NiCo2S4/CNFs),并将其直接应用于DSSCs。由于NiCo2S4材料的催化作用与CNFs的导电性之间具有协同作用,所有化学测试结果均表明,应用于DSSCs的NiCo2S4/CNFs具有良好的功率转换效率(9.0%)和稳定性,优于具有Pt CE的DSSCs(7.48%),这表明NiCo2S4/CNFs复合材料有助于DSSCs的低成本、高效应用。

图1.纯CNFs(a)和NiCo2S4/CNFs复合物(b-c)的SEM图像;NiCo2S4/CNFs(d,e)的TEM图像;NiCo2S4的高分辨率晶格图案(f);NiCo2S4/CNFs复合材料(g-k)的EDS元素映射图像。

图2.NiCo2S4/CNFs粉末样品的XRD图谱(a);(b)C 1s、(c)S 2p、(d)Co 2p、(e)Ni 2p的高分辨率XPS光谱和(f)NiCo2S4/CNFs的全扫描光谱。

图3.纯CNFs和NiCo2S4/CNFs复合材料的N2吸附-解吸等温线(a)和孔径分布(b)。

图4.四个不同CEs的Tafel曲线。

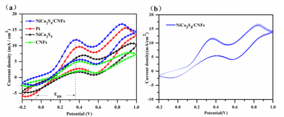
图5.NiCo2S4/CNFs、Pt、NiCo2S4和CNFs CE的循环伏安图(CV),扫描速率为50 mV s-1(a);具有50个循环的NiCo2S4/CNFs CE的CV测量(b)。

图6.使用不同CEs的基于I-/I3-电解质的对称电池的电化学阻抗谱(EIS)奈奎斯特图。

图7.具有不同CEs的设备的J-V曲线。