DOI:10.1016/j.polymer.2020.122806
实现生物聚合物的静电纺丝易用性和无缺陷纤维的关键主要在于溶液性质的调节。在这项工作中,研究者通过对溶液的性质及其复合物的电纺形态进行表征,揭示了ε-聚赖氨酸(ePL,Mw〜4000000 g/mol)在提高超高分子量聚丙烯酰胺(PAAm,Mw〜4000000 g/mol)的静电纺丝易用性和收获无缺陷纤维方面的可调效应。ePL的功能是通过取代-CONH2基团之间的分子内氢键来促进PAAm的溶剂化,从而使结构域更加松散。研究还发现临界摩尔比(Rc)为0.9%,这是ePL与PAAm的重复单位之比。高于Rc时,ePL能够显著降低PAAm溶液的粘度并促进无缺陷纤维的获取,这归因于其相互作用从NH3+/COO-离子对转变为NH3+/-CONH2氢键。最后,作者从生物聚合物复合物的静电纺丝中总结出,溶剂化和“缠结”的增强是提高静电纺丝易用性和收获无缺陷纤维的两个基础。

图1.在30℃时溶液粘度η与剪切速率的函数关系:(a)PAAm溶液,(b)ePL溶液,(c,d)具有不同ePL摩尔比的2.0wt%、3.3wt%PAAm溶液。(a,c,d)中的实线是基于Carreau模型的最佳拟合。

图2.比粘度ηsp(a)、表面张力γ(b)和电导率(c)与PAAm(黑色)和ePL(红色)溶液浓度的函数关系图。

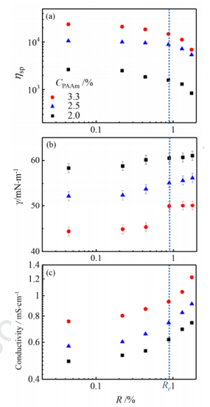
图3.对于CPAAm=2.0wt%(黑色正方形)、2.5wt%(蓝色三角形)和3.3wt%(红色圆圈)的PAAm-ePL混合溶液,比粘度ηsp(a)、表面张力γ(b)和电导率(c)与摩尔比R的关系图。

图4.PAAm溶液在0.5至3.8wt%浓度范围内的散射强度分布图(a),CPAAm=3.3wt%的PAAm-ePL复合溶液相对于ePL摩尔比的散射强度分布图(b),PAAm溶液缩放的相关长度(ξ)与浓度(c)成比例,以及PAAm-ePL配合物的相关长度随摩尔比R(d)的变化。(a)和(b)中的实线是使用Ornstein-Zernike方程的最佳拟合。

图5.显示PAAm-ePL复合纤维随摩尔比R和PAAm浓度变化的SEM显微照片(a)。显示纤维直径分布随摩尔比和PAAm浓度(b,c,d)变化的纤维直径分布箱线图。颜色用于区分形态(黑色:纤维上的珠子;红色:无缺陷的纤维;蓝色:带状)。

图6.使用0.05 M NaOH和HCl反滴PAAm溶液,线为微分电位(a);对于含0.1wt%PAAm的PAAm-ePL混合溶液,zeta电位ζ和摩尔比R的函数关系,阴影突出显示了PAAm-ePL配合物中的电荷反转(b)。