DOI:10.1016/j.jelechem.2020.114597
在本研究中,通过Hansen溶解度参数计算了聚丙烯腈(PAN)在硝基甲烷/水混合物中的溶解度,并使用光学显微镜进行了观察。结果表明,在一定体积比的硝基甲烷和水的混合溶剂中可以得到PAN静电纺丝前驱体。在静电纺丝过程中,采用溶剂诱导相分离法制备了PAN多孔电纺纤维/带。然后,对PAN电纺纤维/碳带进行碳化并活化,制备出具有介孔/大孔结构的碳纳米纤维/碳带。此外,分别以多孔聚丙烯腈纤维/带和碳纳米纤维/带为电极和隔膜制备了超级电容器。研究了离子液体电解质中纳米纤维/碳带的电化学性能与孔结构参数的关系,结果表明,纳米带具有高比例的介孔/大孔结构、较高的比容量(244.1 F·g-1)、充电/放电效率(99.8%)和低内部电阻(0.52Ω)。

图1.硝基甲烷/水中PAN的Rij2值与硝基甲烷体积比的关系

图2.硝基甲烷/水混合物中PAN的光学图,V硝基甲烷:V水,(a)35:1,(b)28:1,(c)19:1,(d)17:1,(e)15:1

图3.硝基甲烷/水混合物中PAN的光学显微镜照片,V硝基甲烷:V水,(a)35:1,(b)28:1,(c)21:1,(d)19:1,(e)17:1,(f)15:1

图4.PAN电纺纤维/带的光学显微镜图像,V硝基甲烷:V水,(a)35:1,(b)28:1,(c)21:1,(d)19:1,(e)17:1,(f)15:1

图5.由PAN在硝基甲烷/水混合物中制备的电纺纤维/带,V硝基甲烷:V水,(a)35:1,(b)28:1,(c)21:1,(d)19:1,(e)17:1,(f)15:1

图6.在硝基甲烷/水混合物中制备的PAN衍生碳纤维/带,V硝基甲烷:V水,(a)35:1,(b)28:1,(c)21:1,(d)19:1,(e)17:1,(f)15:1


图7.N2吸附-解吸等温线和BJH孔径分布图

图8.在硝基甲烷/水混合物中制备的PAN电纺纤维/带的离子液体吸收行为,V硝基甲烷:V水,(a)35:1,(b)28:1,(c)21:1,(d)19:1,(e)17:1,(f)15:1


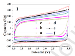
图9.在不同扫描速率下,PAN衍生纳米纤维/碳带超级电容器的循环伏安曲线(I)V硝基甲烷:V水,(a)35:1,(b)28:1,(c)21:1,(d)19:1,(e)17:1,(f)15:1,(II)19:1

图10.PAN衍生纳米纤维/碳带电容器的奈奎斯特光谱,V硝基甲烷:V水,(a)35:1,(b)28:1,(c)21:1,(d)19:1,(e)17:1,(f)15:1

图11.PAN衍生碳纳米纤维的循环寿命图,V硝基甲烷:V水=(a)28:1,(b)21:1,(c)19:1,(d)17:1

图12.PAN衍生纳米纤维/碳带电容器的恒电流充电/放电曲线,V硝基甲烷:V水,(a)35:1,(b)28:1,(c)21:1,(d)19:1,(e)17:1,(f)15:1