DOI:10.1007/s10965-020-02304-0
本研究采用溶液静电纺丝法,对硫酸盐木素(KL)、乙二醛化KL及其与聚丙烯腈(PAN/KL)的共混物进行静电纺丝,以研究碳材料应用中所用膜的形态。优化了工艺参数,以获得具有较高KL含量且无缺陷的PAN/KL纳米纤维。这项工作使用了三种类型的KL:未纯化的(KL)、纯化的(KLp)和乙二醛化的(KLg)。为了提高KL的摩尔质量,还研究了乙二醛化反应时间和乙二醛与KL的比例对反应的影响。结果表明,与标准KL相比,每种乙二醛化KL的摩尔质量都有所增加。随着反应时间和乙二醛与KL的比例增加,摩尔质量保持不变。使用扫描电子显微镜(SEM)对所制备的纳米纤维膜进行了表征,发现其形貌与PAN/KL的比例有关。随着KL含量的增加,纳米纤维的直径减小。生产无缺陷且纤维直径较小的纳米纤维所需的PAN/KL共混物中的最大KL含量为50wt%,因此该材料有望成为碳材料的前驱体。对于KLg,在共混物中添加70%和80wt%的KLg,可得到带珠子的纳米垫。纳米材料的热性能与KL含量及其摩尔质量有直接关系。此外,上述研究结果为KL和PAN/KL纳米纤维的应用提供了一种新的途径。

图1.KLp,KLg(a)和PAN(b)的GPC曲线。

图2.纯化的(KLp)和乙二醛化的(KLg)的1H NMR光谱,乙二醛/KLp的比例和反应时间不同。(a)非乙二醛化的KLp,(b)KLg 2:1 24h,(c)KLg 2:14 8h,和(d)KLg 3.8:1 24h。

图3.KL单元与乙二醛之间的反应示意图。

图4.乙二醛化前后KLp的FT-IR光谱,乙二醛/KLp的比例和反应时间不同。(a)非乙二醛化的KLp,(b)KLg 2:12 4h,(c)KLg 2:14 8h,和(d)KLg 3.8:1 24h。

图5.以13kV的电压,7.5µL/min的流速,10cm的工作距离和不同弯曲比制备的PAN/KL共混纳米纤维的扫描电子显微镜形态:(a)100/0,(b)90/10,(c)80/20,(d)70/30,(e)60/40和(f)50/50wt%。

图6.平均纤维直径和溶液粘度与不同PAN/KL(在DMF中占15wt%)比例的函数关系。

图7.当流速为7.5μL/min、PAN/KL(在DMF中占15wt%)比例不同时,平均纤维直径与所施加电压的函数关系。

图8.以7.5µL/min的流速,10cm的工作距离和不同的施加电压生产的两种40/60wt%PAN/KLp共混纳米纤维的扫描电子显微镜形态和直径分布:(a)13kV和(b)15kV。

图9.以7.5µL/min的流速,10cm的工作距离和不同的电压生产的30/70wt%和20/80wt%PAN/KLg共混纳米垫的扫描电子显微镜形态和直径分布:c)13kV和(b,d)15kV。

图10.以7.5µL/min的流速,5cm的工作距离和不同的电压生产的0/100wt%PAN/KLg电纺纳米纤维垫的扫描电子显微镜图像:(a)13kV,(b)15kV和(c)17kV。

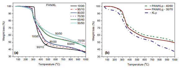
图11.具有不同木质素比率的电纺PAN/KL的TGA曲线:(a)100/0、90/10、80/20、70/30、60/40和50/50wt%和(b)PAN/KLp为40/60wt%,PAN/KLg为30/70%wt%,PAN/KL为0/100wt%。
