DOI:10.1088/2053-1591/abcac1
在本研究中,采用强力纺丝技术制备了亚微米级的聚己内酯(PCL)纤维。与使用静电力的静电纺丝法不同,强力纺丝法借助离心力来产生纤维。PCL已广泛用作细胞再生支架、组织工程基底和药物递送系统。本研究旨在对强力纺纤维垫进行定性分析,并研究喷丝头转速对纤维形态、热性能和力学性能的影响。通过扫描电子显微镜、差示扫描量热法、拉伸试验和动态力学分析对提取的纤维进行了表征。结果表明,转速越高,纤维越均匀,微珠越少。随着转速的增加,纤维的结晶度降低。测得的强力纤维的杨氏模量在3.5至6MPa之间。储能模量和损耗模量随纤维直径的增加而降低。与在较短距离处收集的纤维相比,在距喷丝头更远距离处收集的纤维显示出最佳的力学性能。这项研究有助于提取具有均匀几何形状和较少微珠的纤维,以实现所需的纳米纤维药物释放特性。

图1.(a)强力纺丝制备的PCL纤维网,(b)从纤维网中截取的强力纺纤维垫。

图2.(a)带有纤维垫的拉伸试验样品模板,(b)带有模板的拉伸测试装置,以及(c)经受单轴拉伸的纤维垫。

图3.PCL纤维的SEM显微照片和相应的直方图,显示了在不同的喷丝头转速下浓度为16wt%的纤维直径分布:(a)5000rpm(b)7000rpm和(c)9000rpm。

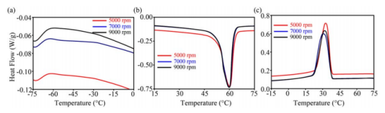
图4.(a)DSC热图显示了不同转速下PCL纤维的玻璃化转变温度,(b)熔融吸热和(c)结晶温度。

图5.在5000、7000和9000rpm下获得的PCL超细纤维垫的平均应力-应变曲线。

图6.在不同转速和频率下PCL超细纤维垫的(a)储能模量和(b)损耗模量。

图7.在不同收集距离下的PCL纤维特性:(a)平均纤维直径,(b)结晶度,(c)拉伸性能和(d)储能模量。