DOI: 10.1016/j.jestch.2020.12.017
在此,研究者对静电纺丝过程中聚合物溶液的单轴拉伸流动进行了数值模拟和实验研究。数值模型的建立考虑了材料的粘弹性。因此,控制方程由有限可扩展的非线性弹性本构模型支持,并首次采用FENE-CR模型。这个版本的FENE模型可以很好地描述拉伸流动的流变性。为了对其进行验证,使用聚酰胺6(PA6)聚合物溶液进行实验研究。重点讨论了最终纤维直径的测定以及聚合物初始浓度对纤维直径的影响。此外,还研究了不同浓度方案对减薄动力学的影响。数值模拟和实验的比较结果充分证明了模拟的预测能力。这项研究所采用的数值方法不仅捕捉到材料的粘弹性行为,而且还观测到由于溶剂蒸发而导致纳米纤维的固化。由于静电纺丝的定量预测模型尚不完善,本研究为模拟该工艺提供了很好的见解。

图1.静电纺丝装置。

图2.不同浓度下PA6溶液在FA中的剪切粘度变化。

图3.PA6在FA中比粘度的浓度依赖性。

图4.实验和数值纤维直径与初始聚合物溶液浓度c0之间的关系。

图5.用5wt%-20wt%的不同浓度聚合物溶液制备纤维的SEM显微照片。对于每种情况,提供了作为插图的特写图片。

图6.不同浓度溶液的魏森伯格数随时间的变化。

图7.对于初始浓度c0在5wt%-20wt%之间的聚合物溶液,其纤维直径d=2r随时间的变化。

图8.对于初始浓度c0在5wt%-20wt%之间的聚合物溶液,其无量纲化纤维直径D=d/d0和无量纲化聚合物组分C=c0/c随时间的变化。

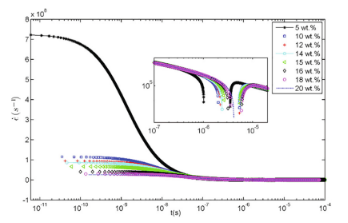
图9.对于初始浓度c0在5wt%-20wt%之间的聚合物溶液,其应变速率随时间的变化。插图为显示应变速率突然下降的log-log图的特写图片。

图10.对于初始浓度c0在5wt%-20wt%之间的聚合物溶液,其应变速率和浓度随时间变化的Log-Log图。还给出了c在10-7s-10-5s时间范围内的特写图像。

图11.对于初始浓度c0在5wt%-20wt%之间的聚合物溶液,其无量纲化聚合物组分随时间变化的Log-Log图。插图还给出了应变速率下降(log-log图)的特写图像。

图12.对于初始浓度c0在5wt%-20wt%之间的聚合物溶液,其应变速率和纤维直径随时间变化的Log-Log图。

图13.对于初始浓度c0在5wt%-20wt%之间的聚合物溶液,其ηE随时间的变化。