DOI: 10.1002/cctc.202100476
纤维纳米材料由于其表面利用率高、传质过程便利,在催化领域引起了广泛的关注。本研究通过静电纺丝法制备了由六方氮化硼/氧化硅(h-BN/SiO2)组成的一维纳米纤维催化剂。关键是如何制备出由剥落h-BN组成的均匀溶胶。通过改变h-BN负载量,纳米纤维催化剂的直径可在150-300nm范围内调节。当用于丙烷氧化脱氢(ODHP)时,所得纳米纤维催化剂的丙烷转化率为12.4%,丙烯选择性为85.1%,烯烃产率高达24.9烯烃·gBN-1·h-1,比迄今为止报道的块状ODHP催化剂高出5倍。本研究揭示了含分散h-BN的特定一维纤维结构,以及通过ODHP工艺制备高效硼基催化剂的新策略。

图1.(a)纺丝溶液组成的详细信息:(I)通过球磨工艺制备的剥落h-BN;(II)剥落h-BN的SEM图像;(III)纺丝溶液(插图是在激光照射下的稀释纺丝溶液)。(b)通过静电纺丝法制备的h-BN负载量为5wt%的h-BN/SiO2纳米纤维:(IV)所得纳米纤维薄膜的光学图像;(V)h-BN/SiO2纳米纤维的SEM图像(插图为纤维直径分布和局部放大细节)。

图2.(a-e)具有不同h-BN负载量的h-BN/SiO2纳米纤维催化剂的SEM图像(插图为纤维直径分布)。(f-h)h-BN理论负载量为7wt%的h-BN/SiO2纳米纤维的TEM和STEM-EDX映射。

图3.(a)具有不同h-BN负载量的煅烧纳米纤维和煅烧前具有3wt%h-BN负载量的代表性纳米纤维的FT-IR光谱;(b)剥落h-BN和市售h-BN;(c)具有不同h-BN负载量的煅烧纳米纤维的XRD图谱。

图4.具有不同h-BN负载量的h-BN/SiO2纳米纤维催化剂的催化活性:(a)温度对丙烷转化率的影响,(b)丙烷转化率和产物分布。反应条件:500℃。气体进料,16.7vol%C3H8,25.0vol%O2,58.3vol%N2;总流速=12ml/min。

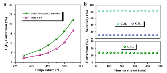
图5.(a)温度对7wt%h-BN/SiO2纳米纤维催化剂和本体h-BN催化剂丙烷转化率的影响。(b)7wt%h-BN/SiO2纳米纤维催化剂在500℃下的催化稳定性试验;反应条件:气体进料,16.7vol%C3H8,25.0vol%O2,58.3vol%N2。流速=12ml/min。