DOI: 10.1016/j.carbpol.2021.118166
在这项研究中,通过热解含钴基沸石咪唑酸盐骨架(ZIF-67(Co))的电纺丝纤维素纳米纤维,制备了基于N,Co共掺杂多孔碳多面体包裹碳纳米纤维复合材料(N-Co/CNF)的无粘合剂混合超级电容电极。通过合理组合纤维素衍生CNF的导电性、CNF和ZIF-67(Co)衍生多孔碳的较高孔隙率以及均匀分散的金属钴纳米粒子,N-Co/CNF具有优异的电化学性能。具体而言,于800℃热解的N-Co/CNF在1M H2SO4电解质中显示出良好的电化学性能,比电容约为433F/g,在3000个连续充放电循环后其电容保持率为84%。这大大超过了纤维素衍生CNF基纯碳质电极的性能。因此,本研究为高性能混合超级电容电极的构建提供了新的思路,该电极将纤维素等可再生生物质资源作为碳质材料前驱体和导电粘合剂。

图1.(a)所制备样品的XRD图谱和(b)拉曼光谱。

图2.(a)ZIF-67,(b)CA纳米纤维,(c)ZIF-67(Co)负载CA纳米纤维和(d)N-Co/CNF-800的SEM图像。

图3.N-Co/CNF-800的(a),(b)TEM和(c)HRTEM图像。

图4.N-Co/CNF-800的(a)宽扫描,(b)C1s,(c)N1s和(d)Co2p XPS光谱。

图5.(a)CNF-800、N-Co/CNF-450和N-Co/CNF-800的氮气吸附/解吸曲线和(b)孔径分布。

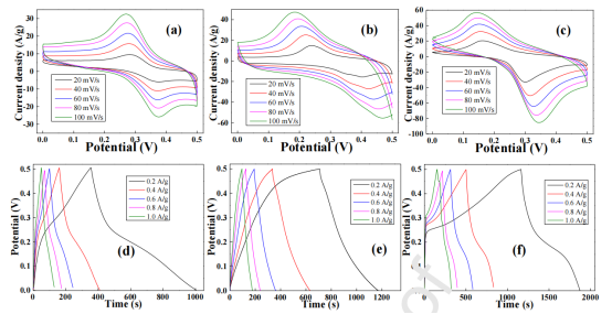
图6.(a,d)N-Co/CNF-450,(b,e)N-Co/CNF-600和(c,f)N-Co/CNF-800的CV曲线和GCD曲线。

图7.(a)CNF-800、N-Co/CNF-450、N-Co/CNF-600和N-Co/CNF-800的奈奎斯特EIS图,(b)N-Co/CNF-800的GCD循环性能。