DOI: 10.1016/j.lwt.2021.111870
采用静电纺丝法制备了聚六亚甲基双胍盐酸盐(PHMB)负载聚乙烯醇(PVA)纤维膜。傅立叶变换红外光谱分析证实PHMB已掺入PVA纤维中,扫描电镜分析表明纤维膜已成功制备。测试了PVA/PHMB纤维膜的热稳定性和抗菌活性。将该纤维薄膜应用于4℃冷藏保存的日本海鲈中进行探究。与对照样品相比,PHMB负载PVA纤维膜有效降低了总活菌数,抑制了假单胞菌和产H2S细菌,延缓了总挥发性碱性氮的产生。结果表明,PVA/PHMB纤维膜对保持鲈鱼品质并延长货架期具有积极作用。

图1.纤维薄膜的FTIR光谱。从上到下依次为PHMB,PVA薄膜,PVA/PHMB2薄膜,PVA/PHMB4薄膜,PVA/PHMB6薄膜,PVA/PHMB8薄膜,PVA/PHMB10薄膜。

图2.纤维薄膜的SEM图像。A:PVA薄膜,B:PVA/PHMB2薄膜,C:PVA/PHMB4薄膜,D:PVA/PHMB6薄膜,E:PVA/PHMB8薄膜,F:PVA/PHMB10薄膜。

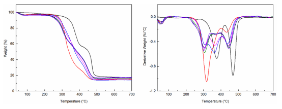
图3.样品的TGA和DTG热分析图。黑色线:PHMB,红色线:PVA薄膜,浅蓝色线:PVA/PHMB2薄膜,粉色线:PVA/PHMB4薄膜,绿色线:PVA/PHMB6薄膜,深蓝色线:PVA/PHMB8薄膜,紫色线:PVA/PHMB10薄膜。

图4.样品的DSC热谱图。黑色线:PVA薄膜,浅蓝色线:PVA/PHMB2薄膜,粉色线:PVA/PHMB4薄膜,绿色线:PVA/PHMB6薄膜,深蓝色线:PVA/PHMB8薄膜,紫色线:PVA/PHMB10薄膜。

图5.未经处理(黑色)以及使用PVA薄膜(红色)、PVA/PHMB2薄膜(深蓝色)、PVA/PHMB4薄膜(粉色)、PVA/PHMB6薄膜(深绿色)、PVA/PHMB8薄膜(深蓝色)和PVA/PHMB10薄膜(紫色)包裹的日本鲈鱼片储存期间总活菌数(A)、假单胞菌(B)和产H2S细菌(C)的变化。同一天内不同大写字母和同一组内不同小写字母的条形分别表示显著性差异(p<0.05)。

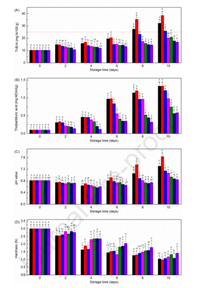
图6.未经处理(黑色)以及使用PVA薄膜(红色)、PVA/PHMB2薄膜(深蓝色)、PVA/PHMB4薄膜(粉色)、PVA/PHMB6薄膜(深绿色)、PVA/PHMB8薄膜(深蓝色)和PVA/PHMB10薄膜(紫色)包裹的日本鲈鱼片储存期间TVB-N(A)、TBA(B)、pH(C)和硬度(D)值的变化。同一组内不同大写字母和同一天内不同小写字母的条形分别表示显著性差异(p<0.05)。