DOI: 10.3390/molecules26164866
从姜黄根茎中提取的姜黄素在世界不同地区用于治疗制剂已有数百年历史。然而,其生物活性受到化学不稳定性、水不溶性、低生物利用度和广泛代谢的限制。在这项研究中,采用同轴静电纺丝技术制备了聚(ε-己内酯)(PCL)-姜黄素以及由含PCL和姜黄素的核与含聚(乳酸)(PLA)的壳组成的核壳纳米纤维。研究了形态和物理特性以及姜黄素的释放,并与纯PCL进行比较,结果表明形成了尺寸分布窄、随机取向、无缺陷的圆柱形纤维。在铜绿假单胞菌PAO1和变形链球菌(两种经常与感染相关的机会致病菌)上评估了其抗菌和抗生物膜的潜力,包括干扰群体感应机制的能力。结果表明姜黄素负载膜能够抑制PAO1和变形链球菌生物膜的生长和活性,是预防生物膜相关感染的一种很有希望的解决方案。此外,本研究所合成的膜具有高生物相容性和控制受损组织氧化应激的能力,可用作组织工程支架,有助于加速愈合过程。

图1.(a)PCL,(b)PCL-PLA,(c)PCL-Cur,(d)PCL-Cur/PLA的SEM照片;(e)PCL-Cur的纤维分布和(f)PCL-Cur/PLA的纤维分布。

图2.PCL-Cur/PLA纤维的TEM图像。

图3.PCL-Cur、PCL-Cur/PLA和PLA的热重分析。

图4.PCL和PCL-Cur/PLA在释放介质(PBS/EtOH 90:10 v/v)中于37℃下孵育72h的累积姜黄素释放动力学曲线。对每个样品进行六种不同的实验,结果表示为所获得值的平均值(平均值±SD)。统计学显著变化:与PCL-CUR相比,###P<0.001。

图5.姜黄素负载膜的抗生物膜活性。如材料和方法部分所述,当存在PAO1(A)和变形链球菌(B)时,在37℃下孵育6、12和24h后,通过CV测定评估生物膜形成。生物膜的形成表示为相对于由生长PAO1和变异链球菌(细菌阳性对照)产生生物膜的最大量的百分比。对每个样品进行六种不同的实验,结果表示为所获得值的平均值(平均值±SD)。统计学显著变化:与PCL和PLA相比,***P<0.001;与PCL-Cur相比,###P<0.001。

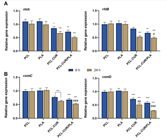
图6.评估CUR负载膜对QS相关基因表达的影响。(A)PAO1中rhlA和rhlB的相对RNA表达;(B)变形链球菌中comC的comD的相对RNA表达。不同的基因表达水平标准化为16sRNA基因转录水平。当存在PCL时,形成生物膜的基因表达水平用作对照。统计学显著变化:与PCL和PLA相比,*P<0.05;与PCL和PLA相比,**P<0.01;与PCL和PLA相比,***P<0.001;与PCL-CUR相比,#P<0.05;与PCL-CUR相比,##P<0.01;与PCL-CUR相比,###P<0.001。

图7.在600nm下评估对铜绿假单胞菌PAO1和变形链球菌的抗菌活性。当存在PCL和PLA时细菌生长用作对照。对每个样品进行六种不同的实验,结果表示为所获得值的平均值(平均值±SD)。

图8.Cur负载膜的DPPH清除活性。对每个样品进行六种不同的实验,结果表示为所获得值的平均值(平均值±SD)。统计学显著变化:与PCL-Cur相比,##P<0.005;与PCL-Cur相比,#P<0.05。

图9.孵育12、24、48和72h后,通过CCK-8(A)和LDH(B)测试由姜黄素负载膜释放姜黄素的细胞毒性。对每个样品进行六种不同的实验,结果表示为所获得值的平均值(平均值±SD)。