DOI: 10.3390/nano11123454
硅(Si)有望成为下一代锂离子电池(LIB)的高能负极。然而,循环过程中较大的体积变化以及严重的容量下降仍然是其实际应用的阻碍。在此,研究者通过简便的同轴静电纺丝技术成功构建了具有核壳结构的柔性硅/碳纳米纤维。所得Si@C纳米纤维(Si@C NFs)由硬碳壳和嵌入硅的无定形碳核框架组成,在0.1A/g下的初始可逆容量为1162.8mAh/g,循环100次后的容量保持在762.0mAh/g。此外,用Si@C NFs组装的柔性LIBs在极端弯曲状态下几乎没有受到影响,显示出优异的电化学性能。其较高的性能可归因于分层多孔结构碳纤维的高导电性和结构稳定性,这表明使用同轴静电纺丝技术制备的新型Si@C NFs在先进柔性储能器件中具有巨大的应用潜力。

图1.使用同轴静电纺丝技术制备柔性Si@CNFs的示意图。

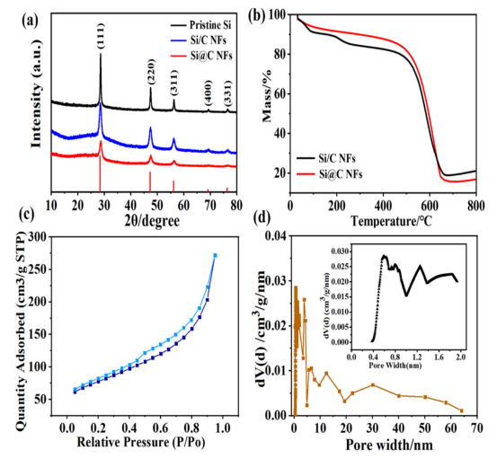
图2.(a)原始Si NPs、Si@C NFs和Si/ C NFs的XRD图;(b)Si@C NFs和Si/C NFs在N2中于10℃/min加热速率下的TG曲线。(c)Si@C NFs的N2吸附/解吸等温线和(d)孔径分布。

图3.(a)Si@C NFs和(b)Si/C NFs的SEM图像;(c)Si@C NFs和(d)Si/C NFs在低放大倍率下的TEM图像;Si@C NFs的HMTEM图像(e)和相应的SAED(f)。

图4.(a)Si@C NF和(c)Si/C NF电极的循环伏安曲线;(b)Si@C NF和(d)Si/C NF电极的恒电流充电/放电曲线;(e)Si@C NFs和Si/C NFs电极在0.2-2A/g电流密度下的倍率性能;(f)Si@C NFs和Si/C NFs电极在0.1A/g电流密度下的循环性能。

图5.(a)循环前和(b)循环后,原始Si NPs、Si/C NFs和Si@C NFs的奈奎斯特图(插图:用于拟合实验数据的等效电路)。

图6.(a)使用Si/C核壳垫作为负极,商用锂薄膜作为对电极的柔性电池方案。柔性电池(b)以及弯曲(c)和缠绕(d,e)状态下的柔性电池点亮LED的数码照片。