DOI: 10.1016/j.molliq.2022.118536
采用冷压法将层层(LBL)自组装膜与几层静电纺丝纳米纤维膜相结合,制备了具有分层结构的阴离子交换膜(AEMs)。LBL自组装膜是通过交替沉积带正电荷的聚氨酯(PU)、季铵化壳聚糖(QCS)和带负电荷的磷钨酸(HPW)形成的。静电相互作用和分子间氢键驱动了LBL自组装过程。由于传导电阻降低,分层结构有利于氢氧根离子传导。因此,(PU/HPW/QCS/HPW)200膜在80℃下的氢氧化物电导率为49.1mS/cm。然而,羟基的持续攻击可能会导致聚合物骨架的降解,甚至会破坏膜。将电纺聚偏氟乙烯-六氟丙烯(PVDF-HFP)纳米纤维膜与LBL自组装膜结合,有望提高AEMs的化学稳定性。外部PVDF-HFP纳米纤维膜调节氢氧根离子的渗透,并保护内部LBL自组装膜免受氢氧根离子的影响,这让人不禁联想到透气保暖的毛衣。制备的(PU/HPW/QCS/HPW)200膜在长期氢氧化物导电性的基础上表现出良好的稳定性。具体而言,AEMs的氢氧化物电导率在80℃下为12.3mS/cm,在同样的温度下浸入1M KOH中888h后达到14.3mS/cm。此外,由于结构紧凑且有序,所制备的AEMs具有良好的尺寸稳定性和机械性能。

图1.膜的制备过程示意图,例如电纺PNs、(LBL)200和(LBL)200/PNs膜。

图2.PNs、(LBL)200和(LBL)200/PNs膜,以及HPW、PU、QCS膜组分的FTIR(A)和拉曼(B)光谱。

图3.HPW、PU、QCS、PNs和(LBL)200/PNs膜的TGA。

图4.膜样品表面精细微观结构的SEM图像:(A)(LBL)200,(B)(LBL)200/PNs,(C)PNs,(D)经冷压操作的PNs,(E))PVDF-HFP溶液流延膜。(C)和(E)中的插图显示了水接触角。膜样品(F)(LBL)200、(G)和(H)(LBL)200/PNs的横截面。在1M KOH中浸泡288h的(LBL)200/PNs(I)和(LBL)300/PNs(J)的表面;在1M KOH中浸泡288h(K)和672h(L)的(LBL)300/PNs膜的横截面。

图5.HPW、PU、QCS、PNs、(LBL)200和(LBL)200/PNs膜的XRD图谱。

图6.(LBL)200基AEMs(A)和(C)以及(LBL)300基AEMs(B)和(D)的氢氧化物电导率和Arrhenius图。


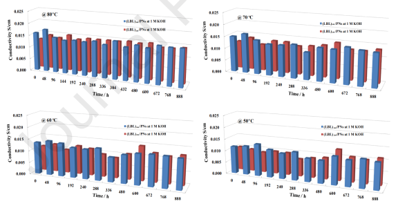
图7.80℃、70℃、60℃、50℃、40℃和30℃下(LBL)300/PNs和(LBL)200/PNs膜在1M KOH溶液中888h的氢氧化物电导率。

图8.所制备膜的力学性能。