DOI: 10.1007/s11356-022-20291-1
有毒染料的过量排放对生态系统和人体健康造成了严重的危害。因此,必须设计并开发一种有效的光催化剂来降解废水中的染料。在此,研究者采用静电纺丝技术结合水热法合成了一种新型一维(1D)花状可回收ZnFe2O4/C/MnO2/BiOI磁性复合光催化剂。通过在模拟光照射下降解甲基橙(MO)和罗丹明B(RhB)来评估该复合光催化剂的光催化活性。ZnFe2O4/C/MnO2/BiOI光催化剂在可见光下150min的光催化效率达到91%(MO),120min的光催化效率达到94%(RhB)。此外,经过五次循环后,MO的降解率仍保持在78%。综上所述,一维磁性花状复合材料的设计为制备具有优异光催化效率和循环稳定性的光催化剂提供了新的策略。

图1.光催化装置示意图

图2.ZnFe2O4/C纳米纤维(a)、ZnFe2O4/C/MnO2纳米纤维(b,c)、花状ZnFe2O4/C/MnO2/BiOI光催化剂(d)的SEM照片,花状ZnFe2O4/C/MnO2/BiOI光催化剂的电子照片(e),元素Zn、Fe、C、O、Mn、Bi和I的EDS图(f-l),花状ZnFe2O4/C/MnO2/BiOI光催化剂的TEM和HRTEM图像(m,n,o,p)

图3.花状ZnFe2O4/C/MnO2纳米纤维(a)和花状ZnFe2O4/C/MnO2/BiOI光催化剂(b)的XRD图谱

图4.ZnFe2O4/C/MnO2/BiOI光催化剂的XPS光谱:全扫描光谱(a),Bi4f(b),I3d(c),C1s(d),O1s(e)和Mn2p(F)

图5.ZnFe2O4/C纳米纤维(a)、花状ZnFe2O4/C/MnO2纳米纤维(b)和花状ZnFe2O4/C/MnO2/BiOI光催化剂(c)的TGA曲线

图6.ZnFe2O4/C纳米纤维(a)、花状ZnFe2O4/C/MnO2纳米纤维(b)和花状ZnFe2O4/C/MnO2/BiOI光催化剂(c)的磁滞回线,插图为外部磁场下从水中分离的ZnFe2O4/C/MnO2/BiOI光催化剂

图7.使用ZnFe2O4/C/MnO2纳米纤维(a,e)和ZnFe2O4/C/MnO2/BiOI光催化剂(b,f)时,MO和RhB溶液在不同时间点的紫外-可见光谱,随时间变化的Ct/C0(c,g),通过一阶动力学模型对实验数据进行线性拟合(d,h)

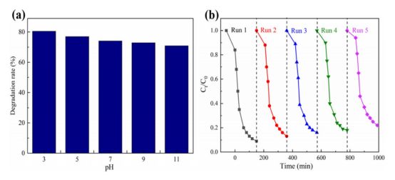
图8.当存在ZnFe2O4/C/MnO2/BiOI时pH对MO降解的影响(a)以及ZnFe2O4/C/MnO2/BiOI光催化剂降解MO的循环试验(b)

图9.ZnFe2O4/C/MnO2/BiOI光催化剂降解MO的捕获实验(BQ为•O2-,MeOH为h+,IPA为OH•)

图10.可见光下ZnFe2O4/C/MnO2/BiOI光催化剂催化活性增强的可能机理