DOI: 10.1016/j.colsurfa.2022.129109
本研究制备了一种含有丁香酚纳米粒子(Eug-NPs)的明胶纳米纤维膜(G-NF)基多功能食品包装材料(G-Eug-NPs-NF)。使用两种离子型多糖壳聚糖和磺丁基醚-β-环糊精(SCD),通过静电自组装制备出Eug-NPs。与G-NF相比,G-Eug-NPs-NF表现出更强的抗氧化能力,与Eug-IC浓度呈正相关,高达84.17%。此外,后者对大肠杆菌(E.coli)和金黄色葡萄球菌(S.aureus)有着良好的抑制作用,更有利于抑制金黄色葡萄球菌的生长。同时,缓释实验表明,在纳米纤维膜中掺入Eug-NPs可提高G-Eug-NPs-NF的缓释能力。总体而言,G-Eug-NPs-NF展示了Eug在食品、医药等领域的广阔应用前景。

图1.本研究的实验设计

图2.Eug(5×10-4mol/L)在具有不同SCD浓度(mol/L)的水溶液中的吸收光谱:(1)0;(2)0.002mol/L;(3)0.004mol/L;(4)0.006mol/L;(5)0.008mol/L;(6)0.010mol/L

图3.1/A-A0与1/[SCD]的Benesi-Hildebrand曲线图

图4.Eug、SCD、Eug/SCD和Eug-IC的FT-IR光谱

图5.25℃下SCD在D2O中的1H NMR谱

图6.25℃下包合物在D2O中的2D NMR谱

图7.Eug-NPs的粒径、zeta电位和PDI

图8.Eug-NPs的SEM

图9.纳米纤维的典型SEM图像和直径:(a)G-NF,(b)G-Eug-NPs-NF1%,(c)G-Eug-NPs-NF2%,(d)G-Eug-NPs-NF3%

图10.G-Eug-NPs-NF的抗氧化能力

图11.(a)G-NF、(b)G-Eug-NPs-NF1%、(c)G-Eug-NPs-NF2%和(d)G-Eug-NPs-NF3%的抗菌活性

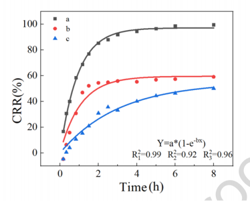
图12.(a)Eug、(b)Eug-NPs和(c)G-Eug-NPs-NF的体外释放行为