DOI: 10.3390/polym14132523
本研究制备了沸石咪唑骨架(ZIF-8)@聚丙烯腈(PAN)纳米纤维膜,并对其进行碳化,以用于吸附水介质中的重金属镉离子(Cd2+)。首先将氧化锌(ZnO)溅射到PAN电纺纳米纤维膜的表面以提供金属离子源。然后,通过原位溶剂热反应制备ZIF-8@PAN纳米纤维膜,并在N2气氛下于900℃的管式炉中碳化以提高吸附性能。合成的具有多面体结构的ZIF-8颗粒均匀固定在PAN电纺纳米纤维膜表面上。在900℃下加热后,多角形ZIF-8收缩,得到碳化的ZIF-8@PAN纳米纤维膜。与未碳化的纳米纤维膜相比,碳化的ZIF-8@PAN纳米纤维膜的吸附量达到102mg/L,在吸附温度为35℃、溶液pH=7.5的条件下,其对Cd2+的吸附效率可达90%以上。吸附热力学分析表明,碳化ZIF-8@PAN纳米纤维膜的Cd2+吸附过程是自发的。整个Cd2+吸附过程更适合用拟二级吸附动力学模型来描述,除物理吸附外,还存在化学吸附机理。

图1.碳化ZIF-8@PAN纳米纤维膜的制备步骤。

图2.原始PAN电纺纳米纤维膜(a)、ZIF-8@PAN纳米纤维膜(b)和碳化ZIF-8@PAN纳米纤维膜(c)的SEM图像。

图3.原始PAN电纺纳米纤维膜(a)、ZIF-8@PAN纳米纤维膜(b)和碳化ZIF-8@PAN纳米纤维膜(c)的EDS光谱。

图4.ZIF-8@PAN纳米纤维膜、模拟ZIF-8和碳化ZIF-8@PAN纳米纤维膜的XRD图谱。

图5.(a)ZIF-8@PAN纳米纤维膜和碳化ZIF-8@PAN纳米纤维膜的FTIR光谱,以及(b)碳化ZIF-8@PAN纳米纤维膜的拉曼光谱。

图6.原始PAN纳米纤维膜、ZIF-8@PAN纳米纤维膜和碳化ZIF-8@PAN纳米纤维膜的Cd2+吸附浓度(a)、吸附容量Qe(b)和吸附效率(c)。

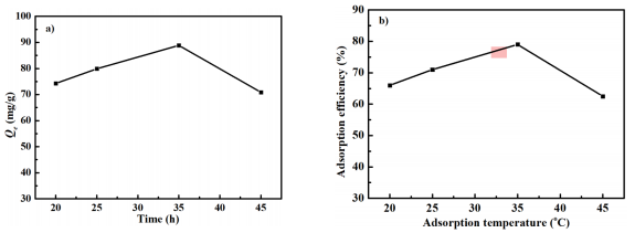
图7.碳化ZIF-8@PAN纳米纤维膜在不同吸附温度和pH=6.5下的Cd2+吸附容量Qe(a)和吸附效率(b)。

图8.碳化ZIF-8@PAN纳米纤维膜在不同温度下的拟合Cd2+吸附热力学曲线。

图9.碳化ZIF-8@PAN纳米纤维膜在不同pH值和35℃吸附温度下的Cd2+吸附浓度(a)、吸附容量Qe(b)和吸附效率(c)。

图10.碳化ZIF-8@PAN纳米纤维膜在pH7.5和35℃水浴温度下的Cd2+吸附浓度(a)、吸附容量Qe(b)和吸附效率(c)。

图11.碳化ZIF-8@PAN纳米纤维膜的拟一级(a)和二级(b)吸附动力学模型的线性拟合曲线。