400-8910-119
首页 > 综合资讯 > 学术快讯 > 详情
中国农业科学院农业质量标准与检测技术研究所邵华&佘永新Front. Nutr.:基于分子印迹电纺纳米纤维膜构建可测定蔬菜中氰戊菊酯残留的荧光微球侧向流检测试纸
2023/3/10 13:30:41 admin

DOI: 10.3389/fnut.2022.957745

 

水果和蔬菜中的氰戊菊酯残留可能会导致生物免疫系统紊乱。由于抗体制备和保存条件的不足,目前的传感器检测方法较为苛刻。因此,开发一种特异性强、稳定性好、成本低的识别材料对于设计一种灵敏、简便且快速的方法具有重要的现实意义。本研究采用沉淀聚合法合成了分子印迹聚合物(MIPs)。使用静电纺丝法将MIP制备成纤维膜。之后,合成了氰戊菊酯半抗原-小鼠IgG-Eu荧光探针,并构建了侧流色谱条,以采用免疫竞争法测定蔬菜中的氰戊菊酯。结果表明,MIP对氰戊菊酯的吸附量为3.65,在MIPFM(一种含有氰戊菊酯MIPs的静电纺丝膜)上的吸附量是游离MIP的5倍。该试纸在50μg/L-1000μg/L范围内表现出良好的线性,R2=0.9761。总之,用分子印迹静电纺丝膜代替氰戊菊酯单克隆抗体是快速现场检测拟除虫菊酯的理想选择。

 

image.png 

图1.MIP的合成过程。


image.png 

图2.仿生免疫层析试纸条的组装。


image.png 

图3.检测原理。


image.png 

图4.MIP(a)和NIP(b)的扫描电子显微图像。


image.png 

图5.(A)洗过的MIP、(B)未洗过的MIP和(C)NIP的线性等温线图。


image.png 

图6.未洗过的MIP、洗过的NIP和NIP的FTIR。


image.png 

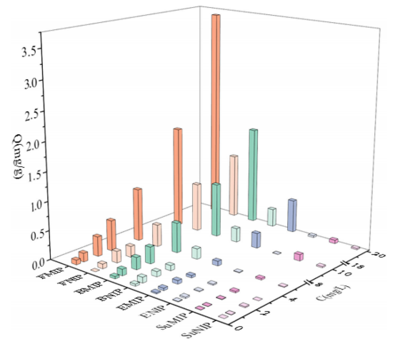
图7.PyMIP和NIP的特殊吸附。


image.png 

图8.(a)由试纸条测定的氰戊菊酯的标准曲线。(b)不同浓度的氰戊菊酯(从右到左分别为0、50、100、200、500、800和1,000µg/L)。


网友评论 请遵循相关法律法规,理性发言
回复
查看更多回复
热门排行
1
近日,研究者用取向和随机排列的聚己内酯(PCL)或聚l乳酸(PLLA)纤维制成了电纺丝神经导管。引导桥接了一个10mm大鼠坐骨神经缺损,并在选定的组中添加了一个来自自体间质血管分数(SVF)的细胞移植。
2
南渡北归育人杰,青春百年再出发。2019年10月17日,南开大学将迎来建校百年华诞。百年来,无数人与南开相遇,或在这里经历成长,或在这里奉献韶华,抑或只是在人生的旅途中遇到一个南开人。

分享