400-8910-119
首页 > 综合资讯 > 学术快讯 > 详情
贵州大学胡克林&重庆大学曾文Sens. Actuators B Chem.:CuO负载In2O3/CeO2纳米纤维的制备及其低温下对ppb-ppm级CO气体的传感性能
2023/4/10 13:31:47 admin

DOI: 10.1016/j.snb.2022.132984

 

在这项工作中,研究者设计并制备了负载CuO的In2O3/CeO2纳米纤维异质结,其有望用于痕量CO气体检测。随后,对材料进行表征,确认了纳米纤维形态和p-n异质结结构,并分析了形态和结构对气敏性能的影响。在气体传感测试中,该传感器显示出70℃的较低最佳工作温度,检测极限低至50ppb。在50ppb至10ppm的浓度范围内,传感器显示出对CO气体的灵敏和线性响应。特别是,该传感器对11.7至10ppm的CO气体具有响应性(Ra/Rg),对2ppm CO气体的响应/恢复时间为125s/12s。此外,研究人员还测试了该气体传感器的选择性、湿度响应和长期稳定性。最后,基于材料的结构,作者提出了CO气体传感性能的增强机制。

 

image.png 

图1.(a)气体传感器的材料制备和构建过程,(b)气体传感器及其测试平台和测试电路。


image.png 

图2.样品S1-S5的XRD图谱。


image.png 

图3.(a)CuO负载In2O3/CeO2纳米纤维的SEM图像,(b)放大的SEM图像和纤维直径的统计数据,(c)TEM结构及其EDS图谱分析,(d)CuO负载In2O3/CeO2纳米纤维的EDS光谱,(e)HR-TEM图像和(f-i)不同选定区域的放大晶格条纹。


image.png 

图4.(a)S1和S3的XPS全扫描光谱,(b)S1和S3的In3d和(c)Ce3d光谱,(d)S3的Cu2p光谱,以及(e,f)S1和S3的O1s光谱比较。


image.png 

图5.(a)S1-S5在不同温度下对2ppm CO气体的传感响应,以及(b)S1-S5样品在不同温度下的Ra。


image.png 

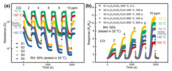
图6.(a)样品S1-S5在不同浓度CO气体中的电阻和(b)响应。


image.png 

图7.(a)S1、(b)S2、(c)S3、(d)S4和(e)S5在2ppm CO气体中的电阻和响应同步曲线。


image.png 

图8.(a)对50ppb至10ppm CO气体的传感响应和(b)不同浓度下的线性拟合。


image.png 

图9.(a)S3的重复性,(b)不同气体中选择性的比较,(c)相对湿度对气体传感性能的影响,(d)S3的长期稳定性,(e)不同批次制备材料的稳定性。


image.png 

图10.(a)CuO负载In2O3/CeO2纳米纤维的能带以及暴露于空气和CO气体的材料的气敏机制,(b)CuO负载In2O3/CeO2纳米纤维增强机制。


网友评论 请遵循相关法律法规,理性发言
回复
查看更多回复
热门排行
1
近日,研究者用取向和随机排列的聚己内酯(PCL)或聚l乳酸(PLLA)纤维制成了电纺丝神经导管。引导桥接了一个10mm大鼠坐骨神经缺损,并在选定的组中添加了一个来自自体间质血管分数(SVF)的细胞移植。
2
南渡北归育人杰,青春百年再出发。2019年10月17日,南开大学将迎来建校百年华诞。百年来,无数人与南开相遇,或在这里经历成长,或在这里奉献韶华,抑或只是在人生的旅途中遇到一个南开人。

分享