400-8910-119
首页 > 综合资讯 > 学术快讯 > 详情
苏州大学刘宇清&徐岚Colloids Surf. A Physicochem. Eng. Aspects:基于核壳Ppy@NPCNFs的电极的构建及其在高性能超级电容器中的应用
2023/5/18 10:52:13 admin

DOI: 10.1016/j.colsurfa.2023.131056

 

在此,本研究利用静电纺丝、碳化、氮掺杂和化学聚合制备了高性能核壳超级电容器电极。该电极的核层是N掺杂多孔碳纳米纤维骨架,壳层是负载在其上的导电聚合物。表征了成孔剂含量、N掺杂量和聚合温度对各阶段产物形貌、结构和电化学性能的影响,并获得了最佳参数。作为自支撑电极,核壳复合材料的SC在1A/g时达到342.13F/g,1000次循环后SC衰减仅为4.6%,表明其具有良好的电荷存储性能和循环稳定性。然后,使用最佳电极制造的对称超级电容器在功率密度为50W/kg时显示出3.10Wh/kg的能量密度。总之,本文提出了一种开发超级电容器多功能电极材料的有效方法。

 

image.png 

图1.核壳结构超级电容器电极材料的制备流程(Ppy@NPCNFs)。


image.png 

图2.(a)CNFs的氮气吸附-解吸等温线和(b)PSD(孔径分布)。


image.png 

图3.(a)具有不同氮掺杂量的样品的XPS光谱以及(b)不同类型氮元素的含量变化曲线。


image.png 

图4.(a)PCNFs-10、(b)NPCNFs-10和(c)Ppy@NPCNFs-0的横截面SEM图像。


image.png 

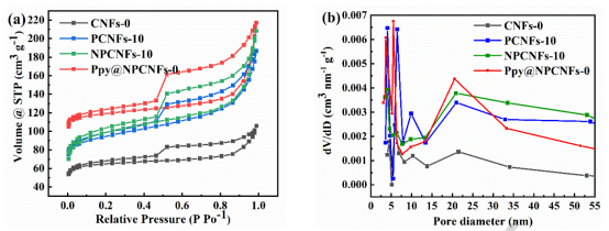
图5.(a)样品的氮气吸附-解吸等温线和(b)由BJH法获得的PSD。


image.png 

image.png 

图6.(a)样品在10mV/s时的CV曲线,(b)在1A/g时的GCD曲线,(c)EIS奈奎斯特图,以及(d)电流密度与SC之间的关系。


image.png 

图7.1000次循环后样品在1A/g下的循环性能。


image.png 

image.png 

图8.(a)不同扫描速率下SSC的CV曲线,(b)不同电流密度下SSC的GCD曲线,以及(c)SSC能量密度与功率密度的Ragone图。


网友评论 请遵循相关法律法规,理性发言
回复
查看更多回复
热门排行
1
近日,研究者用取向和随机排列的聚己内酯(PCL)或聚l乳酸(PLLA)纤维制成了电纺丝神经导管。引导桥接了一个10mm大鼠坐骨神经缺损,并在选定的组中添加了一个来自自体间质血管分数(SVF)的细胞移植。
2
南渡北归育人杰,青春百年再出发。2019年10月17日,南开大学将迎来建校百年华诞。百年来,无数人与南开相遇,或在这里经历成长,或在这里奉献韶华,抑或只是在人生的旅途中遇到一个南开人。

分享