能源储存与转化技术的快速发展对高性能多孔材料提出了更高要求。分级多孔碳纳米纤维因其一维结构、高比表面积和可调孔隙,在超级电容器、电池电极、催化载体等领域展现出巨大潜力。然而,传统模板法存在工艺复杂、环境污染等问题,开发绿色、可控的孔结构调控策略仍具挑战。

近日,北京科技大学李从举教授团队在期刊《ACS Applied Materials & Interfaces》上发表了最新研究成果“Architecting One-Dimensional Hierarchical Porous Carbon Nanofibers via NaHCO3-Mediated Activation: Mechanism Elucidation of Tunable Micro/Mesoporous Structure”。研究者以NaHCO3为活化剂,通过静电纺丝技术结合预氧化—共热解工艺构建了具有可调微/介孔结构的分级多孔碳纳米纤维(PCNF),其比表面积高达3574 m2/g,为能源储存与转化材料设计提供了新思路。

图1:PCNF的制备过程示意图
团队采用预氧化聚丙烯腈/聚乙烯吡咯烷酮(PAN/PVP)纳米纤维为前驱体,经过预氧化稳定后进一步与NaHCO3活化剂高温共热解制备多级孔碳纳米纤维(图1)。

图2:PCNF微观形貌表征
SEM图像显示,未经活化的CNF(图2c)纤维平均尺寸为(280±4 nm),而经过NaHCO3活化的多孔碳纳米纤维平均尺寸减少至230±3 nm(图2d),但仍维持着纤维结构。

图3:PCNF的孔结构特征
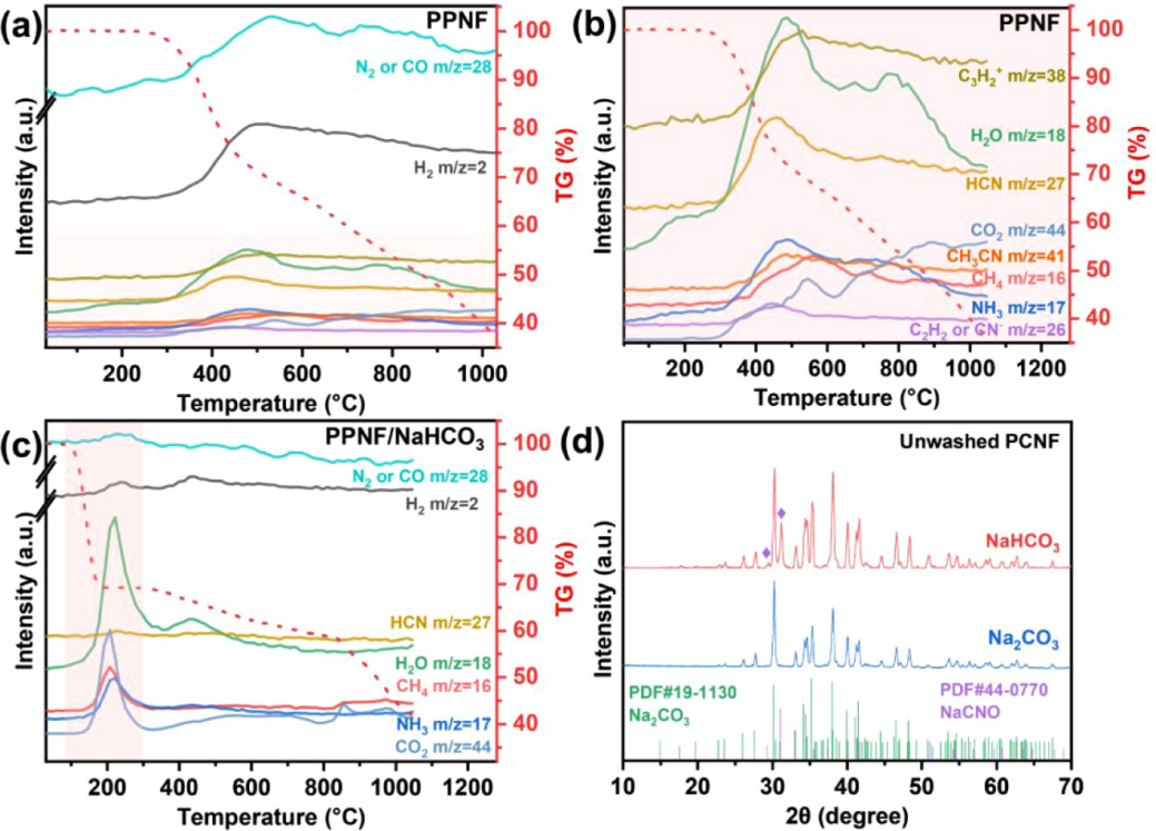
图3显示了共热解温度对PCNF比表面积和孔隙度的影响。PCNF-700比表面积为739 m²/g,具有超微孔结构;随着热解温度的提高,在0.93至10 nm范围内观察到PCNF-800和PCNF-900的孔结构由微孔扩展到介孔,形成相互连接的微介孔结构,比表面积分别增加至2556 m²/g和3574 m²/g。XRD和Raman光谱证实NaHCO3活化促进了石墨微晶的短程有序化,减少了结构缺陷(图4)。TG-MS分析进一步揭示了纳米纤维/NaHCO3共热解的分解机制与孔形成动力学:活化过程中产生大量CO2、H2O等气体小分子实现了插层,化学活化也促进碳基质重排,形成互联孔道,协同优化了孔隙架构(图5)。

图4:PCNF的XRD和Raman谱图

图5:共热解过程的TG-MS分析
作者通过NaHCO3介导的绿色活化策略,在静电纺丝-预氧化-活化-碳化的协同工艺下,成功实现了分级多孔碳纳米纤维的可控制备,阐明了孔结构形成机制,为碳基能源材料的设计与开发提供了新的研究思路。
论文链接:https://pubs.acs.org/doi/10.1021/acsami.5c17079
人物简介:
李从举,北京科技大学能源与环境工程学院二级教授,博士生导师,一直致力于静电纺纳米纤维研究及产业化设备和技术,入选第三批国家“万人计划”科技创新领军人才等。研究成果获得中国专利奖,中关村十大创新成果,香港桑麻纺织科技一等奖等。在Advanced Materials、ACS NANO、Advanced Science、Water Research等期刊发表论文200余篇。