随着纺织废水处理和生化产品提纯需求的日益增长,如何高效实现染料/盐的精准分离(染料脱盐)成为关键挑战。传统纳滤膜往往在渗透性和选择性之间难以兼顾,且长期抗污染性能有限。

近日,浙大宁波理工学院王章慧副教授团队在期刊《desalination》上,发表了最新研究成果“A cellulose nanofiber assembled nanoporous membrane with exceptional dye desalination”。研究者报道了一种通过静电层层自组装策略构建的全纳米纤维素先进膜材料。该工作巧妙利用了阳离子和阴离子纤维素纳米纤维(CNF)的独特性能,制备出一种兼具超高水通量、优异选择性和卓越抗污染性能的可持续分离膜。
关键突破一独特结构设计(图1):采用层层自组装技术交替沉积阳离子和阴离子CNF,成功构建了CNF纳米多孔膜。红外光谱分析证实了CNF的成功负载,其表面亲水性显著提升,同时膜表面负电荷密度大幅增强,这主要归因于阴离子CNF表面丰富的羧酸根基团,赋予膜更强的道南排斥效应。CNF自组装过程有效致密了分离层结构,膜的平均有效孔径约9.97 nm,形成了具有精确筛分能力的纳米多孔结构。

图1. 组装CNF膜的物理化学结构表征
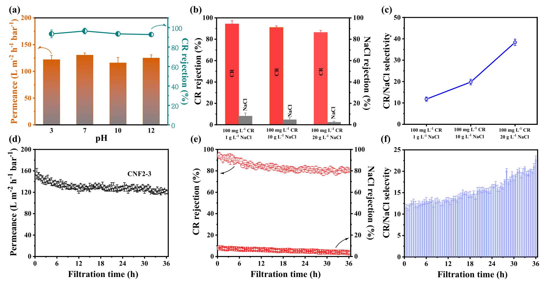
关键突破二优异染料脱盐性能(图2):CNF膜对刚果红(CR)染料截留率达96.5%,纯水渗透通量高达306.0 L m⁻² h⁻¹ bar⁻¹。在处理CR/NaCl混合溶液时,膜渗透通量仍达130.5 L m⁻² h⁻¹ bar⁻¹,比当前报道的聚合物膜、纳米材料复合膜及商业纳滤膜高出1-2个数量级,同时CR/NaCl选择性高达30.6。

图2. 组装CNF膜的染料脱盐性能
关键突破三卓越稳定性与抗污染性(图3与图4):膜在酸碱环境中、高盐浓度下和长期运行中表现出稳定的分离性能,证实了CNF组装层的分离稳定性。同时,膜表面强亲水性及负电荷特性赋予了其优异的抗污染能力和清洗恢复性能(FRR >90%)。

图3. 组装CNF膜的分离稳定性

图4. 组装CNF膜的抗污染性
这项工作为开发下一代高性能、可持续的纳米多孔分离膜开辟了新途径,在废水处理、资源回收等领域具有广阔应用前景。
论文链接:https://authors.elsevier.com/sd/article/S0011-9164(26)00066-4
人物简介:
王章慧,浙大宁波理工学院副教授,浙江大学博士,硕士生导师。研究方向为高性能分离膜材料的结构设计与构筑,致力于探寻实现材料高性能化的新思路和新原理,累计在Chem. Eng.J.、J. Hazard. Mater.、J. Membr. Sci.、Desalination 等国际权威期刊发表SCI 收录论文20 余篇,获得授权发明专利7 项。作为项目负责人主持了国家自然科学基金青年基金项目、浙江省自然科学基金和宁波市自然科学基金,作为项目主要参与者参与了宁波市创新团队项目、宁波市重点研发计划项目等。荣获浙江省科学技术奖一等奖(中空纤维纳米复合过滤膜规模化制备关键技术及工业化应用),入选浙江省科协青年人才托举培养项目、宁波市甬江育才工程领军拔尖人才项目等。